First Home Bình Dương
  • Trang chủ
  • Giới thiệu
    Ban quản trị Ban quản lý Đội an ninh Đội vệ sinh
  • Thông báo
  • Dịch vụ
  • Hỗ trợ
  • Gửi ý kiến

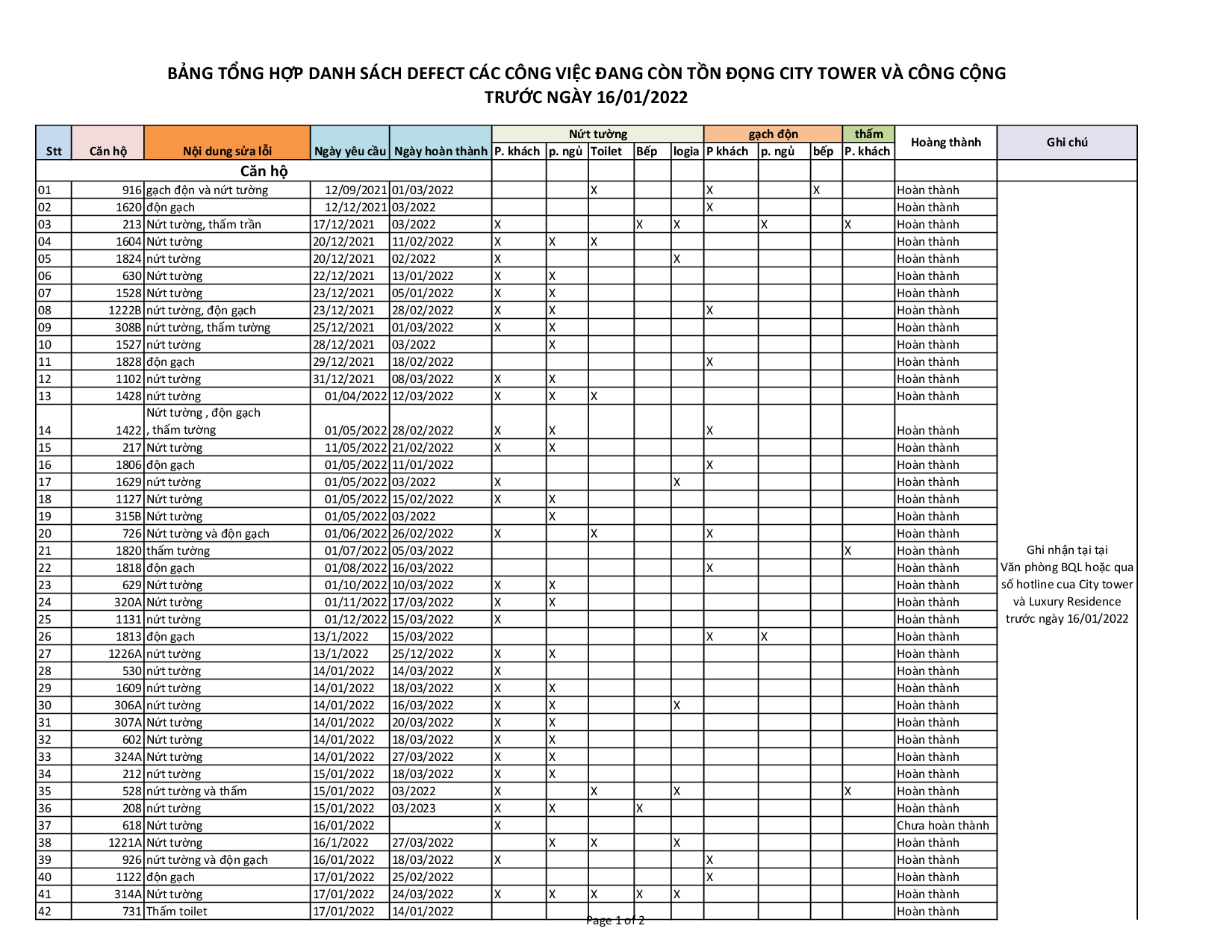
Bảng tổng hợp công tác bảo hành defect tại tòa nhà City tower 16/01/2022

  • admin
  • 25/04/2022 - 16:51:50
  • 1 post
  1. Trang chủ
  2. Thông báo


BQT FIRST HOME BÌNH DƯƠNG

328C đại lộ Bình Dương, khu phố Hưng Lộc, phường Hưng Định, Thuận An, Bình Dương

  • Email: banquantri@firsthomebinhduong.com
  • Kỹ thuật: 0987 755 701 (City Tower) | 0903 180 400 (Luxury Resident)
  • An ninh: 0395 938 841 (Hotline) | 0989 008 077 (Mr Tú)

LIÊN KẾT

  • Điều khoản sử dụng
  • Chính sách bảo mật

© Copyright BQT FHBD All Rights Reserved.

counter easy hit